单排四点接触球式回转支承
山东永强锻造一家集锻造毛坯、回转支承加工制作为一体的高端制作企业。我们致力于为机械行业提供各种标准和非标回转支承解决方案。回转支承广泛应用于机械行业并提供优秀的运转精度,在减轻重量、创造空间、减少摩擦、延长使用寿命等方面也做的很出色。永强提供多种原材料材质、内部装配选择、润滑油脂以及耐腐蚀选项。我们提供滚道中心距从120mm到2500的回转支承。 我们的回转支承运转过程中的密封效果,有力保障回转支承的内部润滑,延长使用寿命。 作为工程机械的主机配套厂家,可以提供稳定可靠的回转支承运转解决方案。
联系我们
产品描述
单排四点接触球式回转支承(01系列)

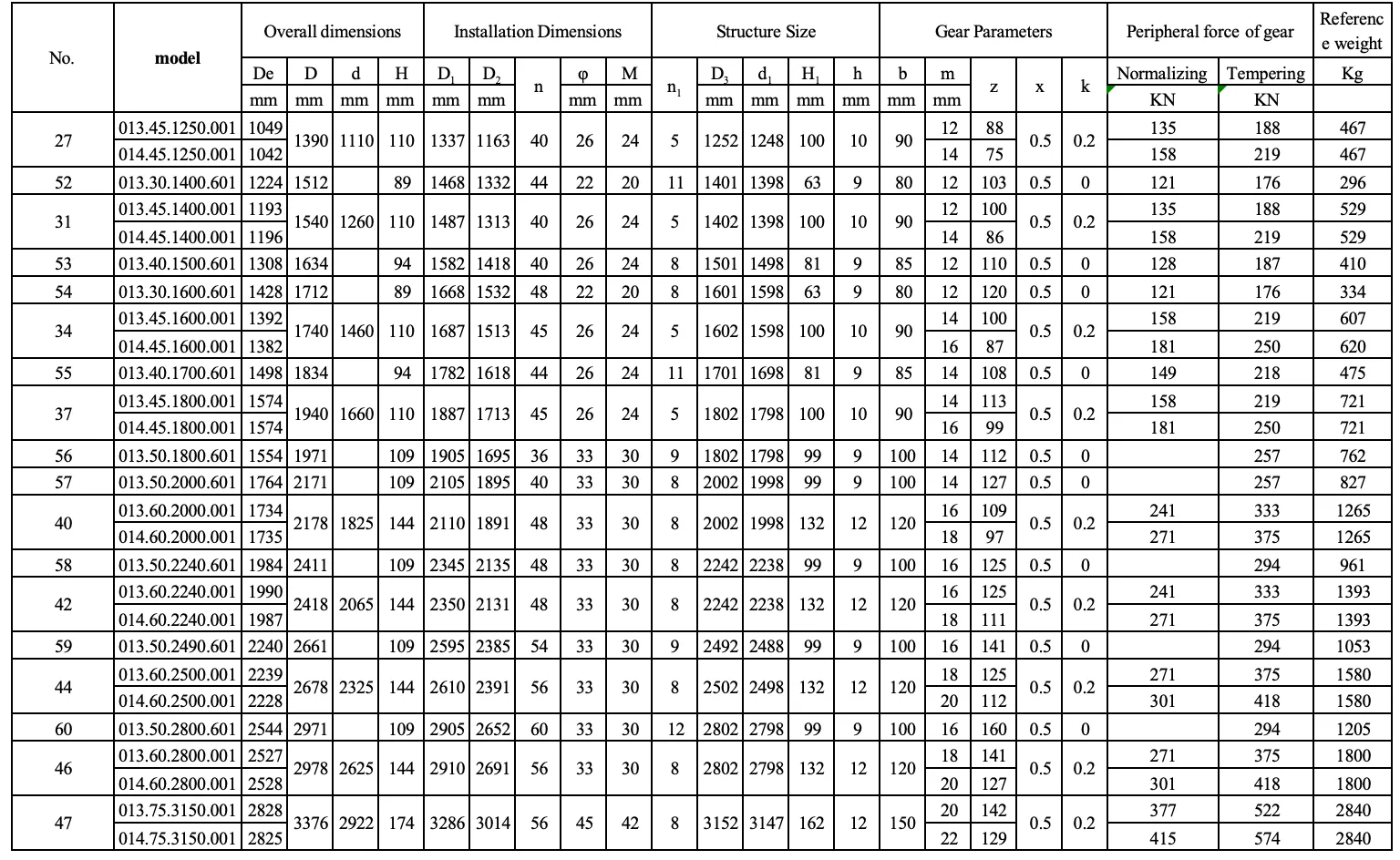
注
1、n1为润滑油孔数。油杯M10x1JB/T7940.1~JB/T7940.
2、根据应用情况用户可指定油孔位置、n- φ可改为螺纹孔,螺纹直径 M ,螺纹深度 2M
3、表内齿轮圆周力为最大圆周力,额定圆周力取其1/2。
4、“k”为削顶系数。
5、本样本中的规格为标准产品,内外径均为自由公差。若主机与回转支承有配合要求,请在合同或合同附件(如技术协议)中注明配合尺寸和精度。
6、表中所列为我公司常规产品,若有其他特殊要求,请与我公司联系
| No. | model | Overall dimensions | Installation Dimensions | Structure Size | Gear Parameters | Peripheral force of gear | Reference weight | ||||||||||||||||
| De | D | d | H | D1 | D2 | n | φ | M | n1 | D3 | d1 | H1 | h | b | m | z | x | k | Normalizing | Tempering | Kg | ||
| mm | mm | mm | mm | mm | mm | mm | mm | mm | mm | mm | mm | mm | mm | KN | KN | ||||||||
| 1 | 013.20.400.601 | 300 | 475 | 55 | 448 | 352 | 16 | 13.5 | 12 | 2 | 401 | 399 | 46 | 9 | 46 | 5 | 61 | 0.5 | 0 | 29 | 44 | 33 | |
| 2 | 013.20.450.601 | 345 | 531 | 55 | 500 | 400 | 16 | 15.5 | 14 | 2 | 451 | 449 | 46 | 9 | 46 | 5 | 70 | 0.5 | 0 | 29 | 44 | 38 | |
| 3 | 013.30.500.001 | 367 | 602 | 398 | 80 | 566 | 434 | 20 | 18 | 16 | 4 | 501 | 498 | 70 | 10 | 60 | 5 | 74 | 0.5 | 0.2 | 37 | 52 | 90 |
| 014.30.500.001 | 368.4 | 6 | 62 | 45 | 62 | 90 | |||||||||||||||||
| 4 | 013.20.560.601 | 450 | 641 | 55 | 610 | 510 | 20 | 15.5 | 14 | 4 | 561 | 559 | 46 | 9 | 46 | 6 | 76 | 0.5 | 0 | 35 | 53 | 51 | |
| 5 | 013.30.560.001 | 427 | 662 | 458 | 80 | 626 | 494 | 20 | 18 | 16 | 4 | 561 | 558 | 70 | 10 | 60 | 5 | 86 | 0.5 | 0.2 | 37 | 52 | 102 |
| 014.30.560.001 | 428.4 | 6 | 72 | 45 | 62 | 102 | |||||||||||||||||
| 6 | 013.30.630.001 | 494.4 | 732 | 528 | 80 | 696 | 564 | 24 | 18 | 16 | 4 | 631 | 628 | 70 | 10 | 60 | 6 | 83 | 0.5 | 0.2 | 45 | 62 | 116 |
| 014.30.630.001 | 491.2 | 8 | 62 | 60 | 83 | 116 | |||||||||||||||||
| 7 | 013.20.710.601 | 594 | 797 | 55 | 762 | 658 | 24 | 18 | 16 | 4 | 711 | 709 | 46 | 9 | 46 | 6 | 100 | 0.5 | 0 | 35 | 53 | 68 | |
| 8 | 013.30.710.001 | 572.4 | 812 | 608 | 80 | 776 | 644 | 24 | 18 | 16 | 4 | 711 | 708 | 70 | 10 | 60 | 6 | 96 | 0.5 | 0.2 | 45 | 62 | 132 |
| 014.30.710.001 | 571.2 | 8 | 72 | 60 | 83 | 132 | |||||||||||||||||
| 9 | 013.40.800.001 | 635.2 | 922 | 678 | 100 | 878 | 722 | 30 | 22 | 20 | 6 | 801 | 798 | 90 | 10 | 80 | 8 | 80 | 0.5 | 0.2 | 80 | 111 | 224 |
| 014.40.800.001 | 634 | 10 | 64 | 100 | 140 | 224 | |||||||||||||||||
| 10 | 013.25.886.601 | 752 | 980 | 63 | 944 | 827 | 36 | 18 | 16 | 4 | 887 | 885 | 54 | 9 | 54 | 8 | 95 | 0.5 | 0 | 54 | 83 | 111 | |
| 11 | 013.40.900.001 | 739.2 | 1022 | 778 | 100 | 978 | 822 | 30 | 22 | 20 | 6 | 901 | 898 | 90 | 10 | 80 | 8 | 93 | 0.5 | 0.2 | 80 | 111 | 252 |
| 014.40.900.001 | 734 | 10 | 74 | 100 | 140 | 252 | |||||||||||||||||
| 12 | 013.40.1000.001 | 824 | 1122 | 878 | 100 | 1078 | 922 | 36 | 22 | 20 | 6 | 1001 | 998 | 90 | 10 | 80 | 10 | 83 | 0.5 | 0.2 | 100 | 140 | 292 |
| 014.40.1000.001 | 820.8 | 12 | 69 | 120 | 167 | 292 | |||||||||||||||||
| 13 | 013.25.1077.601 | 930 | 1169 | 63 | 1134 | 1017 | 36 | 18 | 16 | 6 | 1078 | 1076 | 54 | 9 | 54 | 10 | 94 | 0.5 | 0 | 68 | 104 | 140 | |
| 14 | 013.30.1120.601 | 960 | 1232 | 79 | 1188 | 1052 | 36 | 22 | 20 | 6 | 1121 | 1118 | 63 | 9 | 70 | 10 | 97 | 0.5 | 0 | 88 | 135 | 206 | |
| 15 | 013.40.1120.001 | 944 | 1242 | 998 | 100 | 1198 | 1042 | 36 | 22 | 20 | 6 | 1121 | 1118 | 90 | 10 | 80 | 10 | 95 | 0.5 | 0.2 | 100 | 140 | 333 |
| 014.40.1120.001 | 940.8 | 12 | 79 | 120 | 167 | 333 | |||||||||||||||||
| 16 | 013.30.1250.601 | 1090 | 1362 | 79 | 1318 | 1182 | 40 | 22 | 20 | 8 | 1251 | 1248 | 63 | 9 | 70 | 10 | 110 | 0.5 | 0 | 88 | 135 | 231 | |
| 17 | 013.45.1250.001 | 1048.8 | 1390 | 1110 | 110 | 1337 | 1163 | 40 | 26 | 24 | 5 | 1252 | 1248 | 100 | 10 | 90 | 12 | 88 | 0.5 | 0.2 | 135 | 188 | 467 |
| 014.45.1250.001 | 1041.6 | 14 | 75 | 158 | 219 | 467 | |||||||||||||||||
| 18 | 013.30.1400.601 | 1224 | 1512 | 89 | 1468 | 1332 | 44 | 22 | 20 | 11 | 1401 | 1398 | 63 | 9 | 80 | 12 | 103 | 0.5 | 0 | 121 | 176 | 296 | |
| 19 | 013.45.1400.001 | 1192.8 | 1540 | 1260 | 110 | 1487 | 1313 | 40 | 26 | 24 | 5 | 1402 | 1398 | 100 | 10 | 90 | 12 | 100 | 0.5 | 0.2 | 135 | 188 | 529 |
| 014.45.1400.001 | 1195.6 | 14 | 86 | 158 | 219 | 529 | |||||||||||||||||
| 20 | 013.40.1500.601 | 1308 | 1634 | 94 | 1582 | 1418 | 40 | 26 | 24 | 8 | 1501 | 1498 | 81 | 9 | 85 | 12 | 110 | 0.5 | 0 | 128 | 187 | 410 | |
| 21 | 013.30.1600.601 | 1428 | 1712 | 89 | 1668 | 1532 | 48 | 22 | 20 | 8 | 1601 | 1598 | 63 | 9 | 80 | 12 | 120 | 0.5 | 0 | 121 | 176 | 334 | |
| 22 | 013.45.1600.001 | 1391.6 | 1740 | 1460 | 110 | 1687 | 1513 | 45 | 26 | 24 | 5 | 1602 | 1598 | 100 | 10 | 90 | 14 | 100 | 0.5 | 0.2 | 158 | 219 | 607 |
| 014.45.1600.001 | 1382.4 | 16 | 87 | 181 | 250 | 620 | |||||||||||||||||
| 23 | 013.40.1700.601 | 1498 | 1834 | 94 | 1782 | 1618 | 44 | 26 | 24 | 11 | 1701 | 1698 | 81 | 9 | 85 | 14 | 108 | 0.5 | 0 | 149 | 218 | 475 | |
| 24 | 013.45.1800.001 | 1573.6 | 1940 | 1660 | 110 | 1887 | 1713 | 45 | 26 | 24 | 5 | 1802 | 1798 | 100 | 10 | 90 | 14 | 113 | 0.5 | 0.2 | 158 | 219 | 721 |
| 014.45.1800.001 | 1574.4 | 16 | 99 | 181 | 250 | 721 | |||||||||||||||||
| 25 | 013.50.1800.601 | 1554 | 1971 | 109 | 1905 | 1695 | 36 | 33 | 30 | 9 | 1802 | 1798 | 99 | 9 | 100 | 14 | 112 | 0.5 | 0 | 257 | 762 | ||
| 26 | 013.50.2000.601 | 1764 | 2171 | 109 | 2105 | 1895 | 40 | 33 | 30 | 8 | 2002 | 1998 | 99 | 9 | 100 | 14 | 127 | 0.5 | 0 | 257 | 827 | ||
| 27 | 013.60.2000.001 | 1734.4 | 2178 | 1825 | 144 | 2110 | 1891 | 48 | 33 | 30 | 8 | 2002 | 1998 | 132 | 12 | 120 | 16 | 109 | 0.5 | 0.2 | 241 | 333 | 1265 |
| 014.60.2000.001 | 1735.2 | 18 | 97 | 271 | 375 | 1265 | |||||||||||||||||
| 28 | 013.50.2240.601 | 1984 | 2411 | 109 | 2345 | 2135 | 48 | 33 | 30 | 8 | 2242 | 2238 | 99 | 9 | 100 | 16 | 125 | 0.5 | 0 | 294 | 961 | ||
| 29 | 013.60.2240.001 | 1990.4 | 2418 | 2065 | 144 | 2350 | 2131 | 48 | 33 | 30 | 8 | 2242 | 2238 | 132 | 12 | 120 | 16 | 125 | 0.5 | 0.2 | 241 | 333 | 1393 |
| 014.60.2240.001 | 1987.2 | 18 | 111 | 271 | 375 | 1393 | |||||||||||||||||
| 30 | 013.50.2490.601 | 2240 | 2661 | 109 | 2595 | 2385 | 54 | 33 | 30 | 9 | 2492 | 2488 | 99 | 9 | 100 | 16 | 141 | 0.5 | 0 | 294 | 1053 | ||
| 31 | 013.60.2500.001 | 2239.2 | 2678 | 2325 | 144 | 2610 | 2391 | 56 | 33 | 30 | 8 | 2502 | 2498 | 132 | 12 | 120 | 18 | 125 | 0.5 | 0.2 | 271 | 375 | 1580 |
| 014.60.2500.001 | 2228 | 20 | 112 | 301 | 418 | 1580 | |||||||||||||||||
| 32 | 013.50.2800.601 | 2544 | 2971 | 109 | 2905 | 2652 | 60 | 33 | 30 | 12 | 2802 | 2798 | 99 | 9 | 100 | 16 | 160 | 0.5 | 0 | 294 | 1205 | ||
| 33 | 013.60.2800.001 | 2527.2 | 2978 | 2625 | 144 | 2910 | 2691 | 56 | 33 | 30 | 8 | 2802 | 2798 | 132 | 12 | 120 | 18 | 141 | 0.5 | 0.2 | 271 | 375 | 1800 |
| 014.60.2800.001 | 2528 | 20 | 127 | 301 | 418 | 1800 | |||||||||||||||||
| 34 | 013.75.3150.001 | 2828 | 3376 | 2922 | 174 | 3286 | 3014 | 56 | 45 | 42 | 8 | 3152 | 3147 | 162 | 12 | 150 | 20 | 142 | 0.5 | 0.2 | 377 | 522 | 2840 |
| 014.75.3150.001 | 2824.8 | 22 | 129 | 415 | 574 | 2840 | |||||||||||||||||